Ekonomski fenomen zvani Orašje: Izuzeće od neradne nedjelje im donijelo rast od 200 posto

Porezna uprava FBiH objavila je podatke o fiskalnom prometu po opštinama i gradovima u Federaciji BiH za period od 1. januara do 28. februara ove godine.
Admir Čavalić zastupnik u Parlamentu FBiH navodi kako su se dvije općine posebno istakle: Orašje i Vareš. Dok je većina drugih jedinica lokalne samouprave zabilježila uobičajene oscilacije, ova dva grada su postigla impresivne skokove u fiskalnom prometu.
“Dok je većina drugih opština zabilježila određeni rast ili pad, Orašje i Vareš ostvarili su izuzetne skokove, s indeksom rasta od preko 200% i 300% u odnosu na isti period prošle godine. Ekonomsko čudo!”, navodi Čavalić.
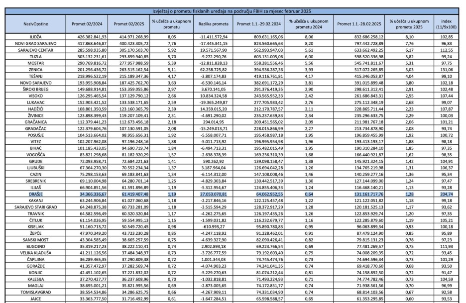
U Varešu je razlog ovog rasta prilično jasan. Kako Čavalić objašnjava: “Razlog rasta u Varešu je jasan – Adriatic Metals Plc, najveća poslijeratna investicija u taj slabo razvijeni kraj.” Međutim, Orašje predstavlja pravu zagonetku. Fiskalni promet u ovom gradu porastao je sa 64 miliona na čak 131 milion KM. Kako je to moguće?

Čavalić ukazuje na ključni detalj.
“Jedno od mogućih objašnjenja leži u činjenici da je Orašje jedini grad u FBiH izuzet od člana 18. Zakona o unutrašnjoj trgovini, koji zabranjuje rad određenih prodajnih objekata nedjeljom.” Ovo izuzeće, dodaje on, omogućilo je Orašju da ostvari značajno veći promet, što direktno doprinosi većim prihodima, boljim radnim uslovima i većim platama za zaposlene. “Prava briga za radnike. Hvala Vlada FBiH”, ironično zaključuje Čavalić.
Dodaje dok Orašje uživa u blagodetima ovog izuzeća, drugi gradovi i opštine trpe posljedice.
“S druge strane, opštine i gradovi koji nisu izuzeti iz ovog zakona bilježe negativne posljedice. Jučer objavljena analiza pokazala je da je Travnik, na primjer, izgubio 728 radnih mjesta. Orašje, zahvaljujući pametnoj ekonomskoj politici, ili pak stranačkoj pripadnosti, nacionalnom ključu, postaje pozitivan primjer kako fleksibilniji propisi mogu generirati značajan ekonomski rast”, zaključuje Čavalić.
(TIP/Izvor: Klix.ba)







Ovaj priedlog nije dobar.Pola koraka je velika prednost a kamo li citav korak. Treba ostaviti staro pravilo kad se radi…